free web design templates

CAPÍTULO 6

Distribuciones de probabilidad

la distribución de probabilidad de una variable aleatoria es una función que asigna a cada suceso definido sobre la variable la probabilidad de que dicho suceso ocurra.


Distribuciones de probabilidad
 La distribución de probabilidad está definida sobre el conjunto de todos los sucesos y cada uno de los sucesos es el rango de valores de la variable aleatoria. También puede decirse que tiene una relación estrecha con las distribuciones de frecuencia. De hecho, una distribución de probabilidades puede comprenderse como una frecuencia teórica, ya que describe cómo se espera que varíen los resultados.    


Mobirise

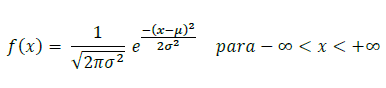
La distribución normal suele conocerse como la campana de Gauss. La distribución de probabilidad está completamente especificada por la función de distribución, cuyo valor en cada x real es la probabilidad de que la variable aleatoria sea menor o igual que x.

INTRODUCCIÓN

Función generatriz de momentos

La función generatriz de momentos es una función que me permite calcular los distintos momentos absolutos de orden N. De esta forma podremos calcular la esperanza y la varianza de las distintas distribuciones de probabilidad.

Mobirise

Un problema clave con las funciones generadoras de momentos es que los momentos y la propia función generadora no siempre existen, porque las integrales que los definen no son siempre convergentes. Por el contrario, la función característica siempre existe y puede usarse en su lugar.

Mobirise

FGM para variables aleatorias continuas

Mobirise

FGM para variables aleatorias discretas

Mobirise

A partir de la función generatriz de momentos vamos a poder calcular los momentos absolutos de cualquier orden de la siguiente manera (IMAGEN)

Mobirise

Si yo quiero calcular el momento absoluto de orden 1 voy a tener que hacer la primer derivada de t cuando t es igual a cero. Cuando calculamos el momento absoluto de orden 1 lo que estamos calculando es la media, que aritméticamente, es lo mismo que la esperanza. 𝜇𝑥=𝐸(𝑥)=𝑀1

Mobirise

Siguiendo esta misma lógica, para calcular el momento absoluto de orden 2 voy a tener que hacer la segunda derivada de t cuando t es igual a cero.

Mobirise

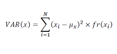
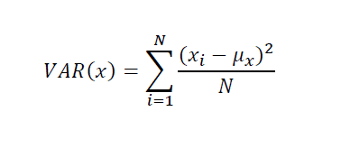
Varianza para datos agrupados.

Mobirise

Varianza para datos desagrupados.

DISTRIBUCIONES TEÓRICAS DE PROBABILIDAD

Distribución de Bernoulli

Mobirise

Experimento de Bernoulli

El experimento de Bernoulli se trata de un experimento dicotómico, es decir, de un experimento que tiene dos posibles resultados: Éxito o No éxito (Fracaso). 

Las particiones realizadas sobre un mismo espacio muestral son mutuamente excluyentes y colectivamente exhaustivas, por lo tanto, la suma de las probabilidades de todas ellas me va a dar siempre 1. Es por este motivo que podemos calcular a la probabilidad de fracaso como 1 menos la probabilidad de éxito. (1-P)

P + (1-P) = 1

Variable aleatoria de Bernoulli:

No debemos confundir el experimento de Bernoulli con la variable aleatoria Bernoulli: esta ultima es aquella función que convierte a cada una de las clases en un numero real.

Variable aleatoria Bernoulli Ωw = { Éxito, Fracaso }

X(Éxito) = 1 → P( x = 1 ) = P

X(Fracaso) = 0 → P( x = 0) = 1 – P = Q

Para la demostración matemática haz click aquí.


Distribución Uniforme

La distribución uniforme presenta equiprobabilidad para todo x 𝜖 A. Es decir, le asigna la misma probabilidad de ocurrencia a cada elemento resultante de aplicarle la función variable aleatoria.

¿Cuándo se usa la distribución uniforme?

Se utiliza la distribución uniforme para describir variables continuas que tienen una probabilidad constante. Por ejemplo, una población de partes varía de 0.5 a 0.6 cm de largo. Si cada valor entre 0.5 y 0.6 cm tiene la misma probabilidad de ocurrir, estos datos siguen una distribución uniforme.

El dominio está definido por dos parámetros, a y b, que son sus valores mínimo y máximo. La distribución es a menudo escrita en forma abreviada como U(a,b).

Mobirise

Distribución Binomial

Mobirise

Para poder explicar la distribución binomial primero vamos a introducir un concepto denominado Proceso de Bernoulli. Un proceso de Bernoulli es una repetición de n veces de un experimento de Bernoulli, sin embargo, debe aclararse que no toda repetición de n veces es un proceso de Bernoulli.

Para que esas repeticiones sean consideradas un proceso de Bernoulli deben cumplir con ciertas características:

1) Las probabilidades de ocurrencia deben ser independientes una de las otras

2) Las probabilidades de éxito se deben mantener constantes

ambas condiciones están relacionadas entre si: Si las variables aleatorias son independientes entre si en consecuencia las probabilidades de éxito se van a mantener constante, y si las probabilidades de éxito se mantienen constantes va a ser porque las variables son independientes una de las otras.

Ahora bien, ¿Cuándo puede suceder que se mantengan constantes las probabilidades de éxito?

1) Cuando N, el tamaño poblacional, es infinito.

2) Cuando N es finita pero hay reposición de elementos.

3) Cuando N es muy grande, tal que, sin haber reposición de elementos, la cantidad de veces que se repita el experimento (n) sea de una proporción menor al 5% de N. 𝑛/𝑁≤0,05.

Para representar que una variable aleatoria X sigue una distribución binomial de parámetros n y p, se escribe: X~B(n,p).

Las siguientes situaciones son ejemplos de experimentos que pueden modelizarse por esta distribución:

• Se lanza un dado 5 veces y se cuenta el número Y de tres obtenidos: entonces X ~ B(5, 1/6).

• Se responde (al azar) un examen de 10 preguntas, cada una con 4 opciones de respuestas y solo una de ellas correcta. La variable aleatoria discreta X = número de preguntas correctamente contestadas tiene una distribución X ~ B(10, 1/4).


Mobirise

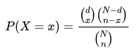
Distribución hipergeométrica

Mobirise

M : Cantidad de éxitos conocidos de la población (algunos libros lo nomenclan con T o S). 
N : Población. 
n : Cantidad de repeticiones sin reposición de elementos. (Por lo tanto nunca van a poder ser mayor que el tamaño de la población). 
X : Variable Aleatoria Hipergeometrica. 
x : Valor puede tomar la variable aleatoria.

La distribución hipergeométrica es una repetición de n experimentos de Bernoulli. Estos experimentos van a tener características completamente contrarias a las que requerían los experimentos realizados en una distribución binomial: se van a realizar sobre una población finita (N), los elementos se evaluaran sin reposición, y la cantidad de repeticiones sobre la población va a ser mayor a 0,05 𝑛/𝑁>0,05. Debido a sus características, hablamos de repeticiones de experimentos y no de procesos de Bernoulli. Que el análisis se realice sobre una población finita, con 𝑛/𝑁>0,05 , y sin realizar reposición de elementos, significara que las probabilidades de ocurrencia no se van a mantener constantes.


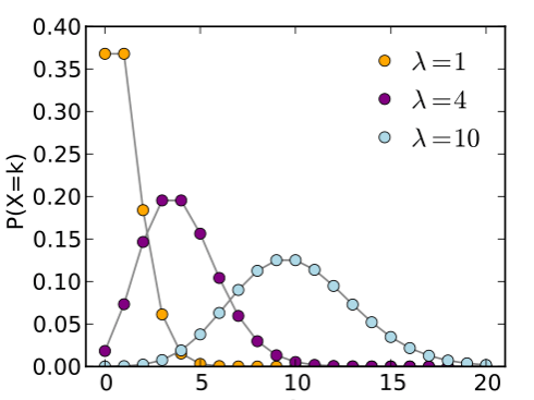
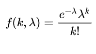
Distribución de Poisson

Mobirise

La distribución de Poisson, también denominada la “ley de casos raros”, la utilizaremos cada vez que se tenga un espacio continuo de tiempo o un cuerpo denso.

Se puede utilizar la distribución de Poisson para determinar la probabilidad de que ocurra un determinado numero de eventos en dicho lapso de tiempo o en algún punto de dicho cuerpo denso, como podría ser una superficie. La distribución de Poisson también son repeticiones de eventos de Bernoulli independientes entre si.

El único parámetro que se necesita determinar en Poisson es el numero promedio de eventos ocurridos en dicho lapso de tiempo o en la dimensión de dicho cuerpo.

¡Importante!

Poisson supone que existe proporcionalidad de ocurrencia de eventos en distintos espacios temporales.

Varianza y Esperanza de Poisson: 𝐸(𝑋~𝑃𝑜)= 𝜆 (varianza) y 𝑉𝐴𝑅(𝑋~𝑃𝑜)= 𝜆 (media).

Mobirise

Hasta este momento estuvimos calculando probabilidades puntuales, que solo pueden ser calculadas cuando trabajamos con variables aleatorias discretas.
Ahora le prestaremos especial atención a las Variables Aleatorias Continuas.

Distribución Normal

Mobirise

La importancia de esta distribución radica en que permite modelar numerosos fenómenos naturales, sociales y psicológicos. ​Mientras que los mecanismos que subyacen a gran parte de este tipo de fenómenos son desconocidos, por la enorme cantidad de variables incontrolables que en ellos intervienen, el uso del modelo normal puede justificarse asumiendo que cada observación se obtiene como la suma de unas pocas causas independientes. 

Formalización:

Si una variable aleatoria sigue una distribucion normal van a haber dos parametros que van a definir el comportamiento de esa distribucion:

1) Su media (μ)

2) Su desvió estándar (𝝈)

𝑿~𝑵 ( 𝝁 ; 𝝈 )

Esos parámetros me indican dos cosas:

1) Cual es la forma que tiene la distribución normal (me lo indica el desvió)

2) Cual es el centro que tiene la distribución normal (me lo indica la media)

Mobirise

Si cambia la media se va a generar un desplazamiento de la distribución.
Este ejemplo se trata de dos distribuciones distintas, que tienen el mismo desvío, pero distinta media.

Mobirise

Si cambia el desvío se genera un cambio en la forma de la distribución.
Este ejemplo se trata de dos distribuciones distintas, que tienen la misma media, pero distinto desvío.

  • Si el desvío es muy grande voy a tener muy poca acumulación centrada con respecto a la media, entonces voy a tener que trabajar con intervalos más largos, más grandes.
  • Si por lo contrario el desvío es chico, la acumulación de probabilidad va a requerir intervalos más cortos.
  • Sin importar el tamaño del desvío, si voy desde el límite inferior del dominio hasta el límite superior del dominio, siempre acumulo 1.
  • Varianza de una distribución Normal: 𝑉𝐴𝑅(𝑋)=𝐸(𝑋−𝜇)^2= 𝜎^2.
Mobirise

A la hora de analizar la función de distribución acumulada de la distribución normal debemos preguntarnos como tenemos que hacer para saber cual es la probabilidad de que una determinada variable que sigue una distribución normal acumule, por ejemplo, un 60% o 40% de probabilidad. Para obtener eso voy a tener que integrar la función de densidad

Mobirise

Ahora veremos las propiedades de la distribución normal

Mobirise

PROPIEDAD DE 1 DESVÍO

Lo que me está indicando el grafico es que siempre entre 𝜇𝑥−𝜎 (como limite inferior) y 𝜇𝑥+𝜎 (como límite superior) se va a acumular el 68,3% de la distribución, para cualquier media y cualquier desvío (siempre y cuando se trate de una distribución normal).

Mobirise

PROPIEDAD DE 2 DESVÍOS

Sin importar el valor de la media y del desvío, si sigue una distribución normal, entre la media y dos desvíos para la izquierda y para la derecha se acumulará el 95,4%

Mobirise

PROPIEDAD DE 3 DESVÍOS

 Un intervalo de tres desviaciones estándar de radio representa el 99.7% de la población de la muestra que se estudia, asumiendo que posee una distribución normal (en forma de campana).

Mobirise

Tenemos un problema inverso de tabla cuando conozco cuanto se acumula entre los límites, pero no el valor de uno de ellos.
Por ejemplo: Suponemos que tengo la información de que una variable sigue una distribución normal con una media igual a 50 y un desvío igual a 3 y yo quiero saber cual es el valor tal que acumula por ejemplo un 80% de la probabilidad.

Dirección

FCE-UBA
Av. Córdoba 2122
Ciudad Autónoma de Buenos Aires. Argentina. 

Profesores

Diego Parrás
Aldana Tedesco